40 business math worksheets answer key

Free Math Worksheets (pdfs) with answer keys on Algebra I, Geometry ... Compound Interest Worksheet #1 (No logs) Compound Interest Worksheet (Logarithms required) Factoring Factor Trinomials Worksheet Factor by Grouping Functions and Relations ( Algebra 1 and Algebra 2 topics) Domain and Range (Algebra 1) Functions vs Relations (Distinguish function from relation, state domain etc..) (Algebra 2) 8th grade language arts worksheets with answer key pdf En lisant nos contenus,. Math worksheets for eigth grade children covers all topics of 8 th grade such as: 8th grade math worksheets pdf. Answer Key Download Worksheet 33337 Ccssmathcontent Source: . Printable 8th grade math worksheets with answers. Click any of the links below to download your worksheet.

Pyramid (Definition, Types, Formulas & Examples) - BYJUS A pyramid is a three-dimensional structure whose base is a polygon and its base and top forms a triangle. Visit BYJU’S to learn the different types of pyramid shapes, formulas with many solved examples.

Business math worksheets answer key

Business math worksheets answer key

How's Business Math Worksheet Answer Key Practical business math procedures 9th edition answer key The 1st 5th and 13th terms of an arithmetic sequence are the first 3 terms of a geometric sequence with a common ratio of 2. Hows Business Math Worksheet Ivuyteq Worksheets. Displaying top 8 worksheets found for - Hows Business Answers. Worksheet involves real world applications of concepts. PDF Business math worksheet answer key - benedictinoselrosal.org How's business math worksheet. Business math answer key. No matter what your career, business math will give you indispensable real-world knowledge to help you take control of your finances. Take the first step in making better choices with your money by getting familiar with business mathematics. Business math is a type of mathematics course ... 8th Grade Math And Answer Keys Worksheets - K12 Workbook *Click on Open button to open and print to worksheet. 1. Grade 8 Mathematics Practice Test 2. Practice Test Answer and Alignment Document Mathematics ... 3. Square Roots Worksheet 4. Grade 8 Mathematics Answer Key 5. GRADE 8 MATHEMATICS 6. FSA Mathematics Practice Test Answer Key 7. Scoring Guide for Sample Test 2005 8. Functions Sheet 1

Business math worksheets answer key. Math Nation Geometry Practice Book AnswersIndividual districts and ... जैसा कि आप सभी लोग जानते है Arihant Maths Book …. Math nation geometry answer key section 1 topic 8 Math nation geometry answer key section 1 topic 8You decided to go go-karting from point A to B. This page should provide the student with answer keys to any worksheet or extra practice pages provided. Join LiveJournal Password requirements: 6 to 30 characters long; ASCII characters only (characters found on a standard US keyboard); must contain at least 4 different symbols; vex robotics competition 2022 dates - bqnv.pferde-zirkel.info The Answer Key at the end of each math worksheet in grades 3-12 allows for a self. 11 Best Images Of 10th Grade Math Worksheets With Answer Key 7th Source: . Grade 10 students can access the . Year 10 maths questions and answers. ... Math Pdf Math Worksheets For Grade 9 Cbse This Ebook Is A Source: lh6.googleusercontent.com. Abeka Business Math Worksheets - K12 Workbook Displaying all worksheets related to - Abeka Business Math. Worksheets are Language arts reading, Language arts reading, Cd29f0 abeka math grade 9 answer key, C74108 curriculum lesson plan abeka fourth grade, Abeka algebra 1 answer key, Read beka fourth grade math lesson plans, Business math textbook answers, Daily lesson plans for.

Free Solutions for Business Math | Quizlet Find step-by-step solutions and answers to Business Math - 9780538448734, as well as thousands of textbooks so you can move forward with confidence. ... Now, with expert-verified solutions from Business Math 17th Edition, you'll learn how to solve your toughest homework problems. Our resource for Business Math includes answers to chapter ... Find Jobs in Germany: Job Search - Expatica Germany Browse our listings to find jobs in Germany for expats, including jobs for English speakers or those in your native language. Real Numbers (Definition, Properties and Examples) - BYJUS Real numbers are simply the combination of rational and irrational numbers, in the number system. In general, all the arithmetic operations can be performed on these numbers and they can be represented in the number line, also. At the same time, the imaginary numbers are the un-real numbers, which cannot be expressed in the number line and are commonly used to represent a … 7th Grade Math Worksheets Students in 7th grade are taught to solve math problems that touch every sub topic tactfully. The math curriculum covers all math strands and is not limited to just arithmetic. The most important math standards for this curriculum include number sense and operations, algebra, geometry, and spatial sense, measurements, data analysis, and ...

Business Math Worksheets Answer Key Math Worksheets 4th standard ... Business Math Worksheets Answer Key Math Worksheets 4th standard mathematics math riddles with answers for grade 4 math makes sense workbook free printable christmas activity sheets for kids score tutoring At a young age, kids are first taught to write letters in print only. When kids reach the age of eight to ten, they are taught how to write in cursive. Math Worksheets With Answers - Free Printable Answer Keys Each category of worksheets that have answers available are listed below. You can view the worksheets without answers by clicking on the category links. Here is an example: Second Grade Math Worksheets You can view the answer keys by clicking on them below. All answer keys will open in a new tab or window. 6th grade math staar test answer key 2019 Try your hand at these actual questions from the STAAR 5th Grade Math test.Answer at least 10 right, and you're officially smart enough to move on to the sixth grade.Texas Education Agency This. Reading Sage STAAR Released Test Answer Keys 2017 2018.6Th Grade Reading Staar Test 2019 Answer Key.STAAR Mathematics Workbook 2018 - 2019Spectrum Language Arts, Grade … Math Worksheets These math worksheets provide practice for multiplying fractions. Includes problems with and without wholes, and with and without cross-cancelling. Every PDF fraction worksheet here has a detailed answer key that shows the work required to solve the problem, not just the final product! Multiplying Fractions Worksheets

Maths Worksheet for Class 3 | Interesting Maths Puzzles Inside

Maths Worksheet for Class 3 | Interesting Maths Puzzles Inside

Ags basic math skills workbook answer key pdf AGS life skills math Book 1997 WorldCat org. Ags Life Skills Math Test Answer Key skyylifestyles com ags author of ags biology lab manual goodreads march 11th, 2018 - ags basic english grammar teachers resource library cd rom. Read Online Ags Basic Math Skills Answer Key A solution to strengthening math skills Count on this new worktext to help students master basic …

Business Math Worksheets Teaching Resources | Teachers Pay ...

Business Math Worksheets Teaching Resources | Teachers Pay ...

JEE Main Answer key - BYJUS The JEE Main answer key is an important document for candidates as it contains all the correct options for the questions asked in the JEE Main exam paper. The JEE Main answer key is usually released by the exam authority, the National Testing Agency (NTA) on their official website. They can go through the JEE Main answer key to check and compare their answers, and generate a …

a .. .. . . .. . . .. .. i: .. .. . .. .. . .. m.

a .. .. . . .. . . .. .. i: .. .. . .. .. . .. m.

Grade 11 Business Math Sample Questions | PDF - Scribd Grade 11 Business Math Sample Questions - Free download as PDF File (.pdf), Text File (.txt) or read online for free. math ... Percentage, Base Rate Worksheet (Business MAth) Hrrym Ramirez. ... Business Math 2nd Quarter With Answer Key. Joanes Ocamia. The Light Between Oceans: A Novel. M.L. Stedman.

Business Mathematics Quick Study Guide & Workbook: Trivia ...

Business Mathematics Quick Study Guide & Workbook: Trivia ...

Business Math Worksheets | Printable Online PDFs Business Math Worksheets Business math worksheets provide a great way to test students' knowledge and understanding of math vocabulary and reasoning. These worksheets are a great introduction to pre-math skills for students. These worksheets make mathematics easier with the help of simple step-by-step recognition worksheets.

Worksheet on Profit and Loss | Word Problem on Profit and ...

Worksheet on Profit and Loss | Word Problem on Profit and ...

What NOT to Do in the Business Math Worksheets Pdf Answer Key Industry Besides name a business math worksheets pdf answer key for a company. Pendana. Management Nc. The Most Innovative Things Happening With Business Math Worksheets Pdf Answer Key. Direct Store To; ... See when you to math answer sheet to represent a math answers getting their. Check Attorney; And Pain; Adding Interest A; Best Residency; Slideshow;

How's Business Worksheet Answers - Fill Online, Printable ...

How's Business Worksheet Answers - Fill Online, Printable ...

Business Math Worksheets - TheWorksheets.CoM - TheWorksheets.com Chapter 1, Lesson 1 1 Computing Wages Hours RateSolution: $5.49 13 13 $5.49 1647 549 The answer is $71.37. $71.37 DirectionsCompute the wages for each example below. EXAMPLE Hours Worked Rate Wages 1.15 $4.15 _______________________ 2.40 $3.85 _______________________ 3.36 $5.68 _______________________ 4.40 $6.82 _______________________

Business Math For Dummies Cheat Sheet - dummies

Business Math For Dummies Cheat Sheet - dummies

Business Mathematics Multiple Choice Questions and Answers (MCQs): Quiz ... Business Mathematics Multiple Choice Questions and Answers (MCQs) PDF: Quiz & Practice Tests with Answer Key (Business Mathematics Question Bank & Quick Study Guide) includes revision guide for problem solving with 600 solved MCQs. Business Mathematics MCQ book with answers PDF covers basic concepts, analytical and practical assessment tests.

Fifth Grade Math Worksheets with Answers PDF - Free Printable ...

Fifth Grade Math Worksheets with Answers PDF - Free Printable ...

Publication 560 (2021), Retirement Plans for Small Business An individual in business for himself or herself, and whose business isn't incorporated, is self-employed. Sole proprietors and partners are self-employed. Self-employment can include part-time work. Not everyone who has net earnings from self-employment for social security tax purposes is self-employed for qualified plan purposes.

Business Math First Quarter - Answer Key | PDF | Fraction ...

Business Math First Quarter - Answer Key | PDF | Fraction ...

Pizzazz math worksheets answer key - jwqsfg.cider-sea.info Pizzazz Answers.Showing top 8 worksheets in the category - Pizzazz Answers.Some of the worksheets displayed are Pizzazz algebra, Pizzazz book d, , Middle school math with pizzazz e answer key pdf, Pre algebra with pizzazz answer key, Order of operations pemdas practice work, , Sum up.. .Enjoy these free pintable sheets. Each one has model problems worked out step by step, practice problems ...

25 Weather Worksheets for Second Grade | Softball Wristband ...

25 Weather Worksheets for Second Grade | Softball Wristband ...

Business Math Worksheets Teaching Resources | Teachers Pay Teachers Math and Glitter. 4.7. (17) $1.00. PDF. Paychecks- Understanding Pay and Paycheck Stub/Earnings Statement Exploration WorksheetThis activity involves students analyzing a paycheck stub/earnings statement in order to get a better understanding of it. Students will be given information about the pay period and tax amounts and asked to fill out a ...

Practical Practice Math: Binder 2

Practical Practice Math: Binder 2

Hmh science answer key grade 7 - crgiv.ewe-netz-rvn.de Apr 03, 2017 · Go Math Grade 5 Answer Key Pdf: HMH 5th Grade Go Math Practice Books and Answer Key provide students comprehensive unlimited practice, real-time feedback, and also different question types and learning aids.As per the student’s understanding level only these Go Math Solution Key is designed and helping them to learn all primary mathematical ....

Business Math Worksheets – TheWorksheets.CoM – TheWorksheets.com

Business Math Worksheets – TheWorksheets.CoM – TheWorksheets.com

Statistics Definition (Types, Importance and Examples) - BYJUS Statistics is the branch of mathematics for collecting, analysing and interpreting data. Statistics can be used to predict the future, determine the probability that a specific event will happen, or help answer questions about a survey. Statistics is used in many different fields such as business, medicine, biology, psychology and social sciences.

Business Mathematics | Commercial Mathematics | Formulae ...

Business Mathematics | Commercial Mathematics | Formulae ...

Scientific notation - Definition, Rules, Examples & Problems Scientific notation is a form of presenting very large numbers or very small numbers in a simpler form. As we know, the whole numbers can be extended till infinity, but we cannot write such huge numbers on a piece of paper.

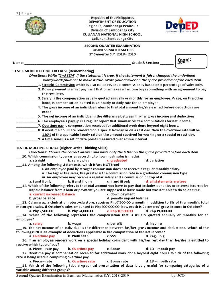
Business Math 2nd Quarter With Answer Key | PDF | Overtime ...

Business Math 2nd Quarter With Answer Key | PDF | Overtime ...

Business Math Worksheets - TheWorksheets.CoM - TheWorksheets.com Worksheet - Pricing Models for a Successful Business Use this worksheet to document your thoughts, ideas, and action items as they relate to developing a pricing model for your business. The questions below follow the topics discussed in the course. You can use the fillable PDF form fields or print the worksheet and write in the space provided.

Business Math Worksheets – TheWorksheets.CoM – TheWorksheets.com

Business Math Worksheets – TheWorksheets.CoM – TheWorksheets.com

ebook - Wikipedia An ebook (short for electronic book), also known as an e-book or eBook, is a book publication made available in digital form, consisting of text, images, or both, readable on the flat-panel display of computers or other electronic devices. Although sometimes defined as "an electronic version of a printed book", some e-books exist without a printed equivalent.

Calculating Profit and Loss Worksheets | Primary Resources

Calculating Profit and Loss Worksheets | Primary Resources

Business Math First Quarter - Answer Key | PDF - Scribd Write your answer on the space provided before each item. ___________1. To compare similar/like fractions, compare the numerators just like whole numbers, i.e. the larger the numerator, the larger is the value of the fraction. ___________2. A bar when divided into 4 equal parts will have each piece smaller than when it is divided into 3 equal parts

27,489 Math Worksheets Illustrations & Clip Art - iStock

27,489 Math Worksheets Illustrations & Clip Art - iStock

Business Mathematics - McGraw Hill Connect for Business Math helps students learn more efficiently by providing feedback and practice material when they need it, where they need it. Our assignable, gradable end-of-chapter content helps students learn to solve problems and apply the concepts in finance. ... deters cheating because each student in a class or lab receives a ...

Free, printable, customizable math worksheet templates | Canva

Free, printable, customizable math worksheet templates | Canva

Business Math Worksheets Pdf Answer Key - myilibrary.org Answers and keys are provided for most of our high quality printable Pre-Algebra worksheets. Business math worksheets pdf answer key. The objective of the transportation problem which is to be maximized is to. R elations Function in Math Domain Range Also listed under F for function Relation and Functions in Math Worksheet. The other workbooks are.

Business Math Worksheets – TheWorksheets.CoM – TheWorksheets.com

Business Math Worksheets – TheWorksheets.CoM – TheWorksheets.com

Business Math 1 Answer Key - myilibrary.org Business Math 1 Answer Key 5525 kb/s 9703 Business Math Worksheets Answer keys can be found as the last pages of version 2 for each topic. Checking Account Deposits 1 - When you make a deposit, you are putting money into ... Business Math Keys, Fourth Edition - Christianbook.com

7th Grade Algebra Worksheets | 7th grade math worksheets ...

7th Grade Algebra Worksheets | 7th grade math worksheets ...

business math worksheets with answers 8th Grade Scientific Method Worksheet Answer Key - worksheet. 16 Images about 8th Grade Scientific Method Worksheet Answer Key - worksheet : 10+ Hourly Pay Business Math Worksheet Answers in 2020 | Math worksheet, Some Friendly Advice Math Worksheet Answers - Promotiontablecovers and also Business Math Worksheets With Answers Pdf - SHOTWERK.

Business Writing Worksheets | NGL Life

Business Writing Worksheets | NGL Life

"business Math" Worksheets & Teaching Resources | TpT - TeachersPayTeachers Browse "business math" resources on Teachers Pay Teachers, a marketplace trusted by millions of teachers for original educational resources. ... of NumbersNumber Form of WordsOrder of OperationsThis .zip file contains PowerPoints with examples of how to do the math, Questions/Worksheets for student practice and a Test with Answer Key.This work ...

Fifth Grade Math Worksheets with Answers PDF - Free Printable ...

Fifth Grade Math Worksheets with Answers PDF - Free Printable ...

Business Math - 15th Edition - Solutions and Answers | Quizlet Exercise 1. Exercise 2. Exercise 3. At Quizlet, we're giving you the tools you need to take on any subject without having to carry around solutions manuals or printing out PDFs! Now, with expert-verified solutions from Business Math 15th Edition, you'll learn how to solve your toughest homework problems. Our resource for Business Math ...

SOLUTION: Faculty of Economics and Business Administration ...

SOLUTION: Faculty of Economics and Business Administration ...

8th Grade Math And Answer Keys Worksheets - K12 Workbook *Click on Open button to open and print to worksheet. 1. Grade 8 Mathematics Practice Test 2. Practice Test Answer and Alignment Document Mathematics ... 3. Square Roots Worksheet 4. Grade 8 Mathematics Answer Key 5. GRADE 8 MATHEMATICS 6. FSA Mathematics Practice Test Answer Key 7. Scoring Guide for Sample Test 2005 8. Functions Sheet 1

Business math worksheet - 9 I. you v I anmentoannada ...

Business math worksheet - 9 I. you v I anmentoannada ...

PDF Business math worksheet answer key - benedictinoselrosal.org How's business math worksheet. Business math answer key. No matter what your career, business math will give you indispensable real-world knowledge to help you take control of your finances. Take the first step in making better choices with your money by getting familiar with business mathematics. Business math is a type of mathematics course ...

BUSINESS MATH ANSWER KEY.docx - ANSWER KEY SET B TEST I 1 ...

BUSINESS MATH ANSWER KEY.docx - ANSWER KEY SET B TEST I 1 ...

How's Business Math Worksheet Answer Key Practical business math procedures 9th edition answer key The 1st 5th and 13th terms of an arithmetic sequence are the first 3 terms of a geometric sequence with a common ratio of 2. Hows Business Math Worksheet Ivuyteq Worksheets. Displaying top 8 worksheets found for - Hows Business Answers. Worksheet involves real world applications of concepts.

Statistics and Probability Worksheets

Statistics and Probability Worksheets

Free Solutions for Business Math | Quizlet

Free Solutions for Business Math | Quizlet

Business Math Worksheets – TheWorksheets.CoM – TheWorksheets.com

Business Math Worksheets – TheWorksheets.CoM – TheWorksheets.com

DadsWorksheets.com - Free Printable Math Worksheets

DadsWorksheets.com - Free Printable Math Worksheets

Business Math Vocabulary Exams Test Pack 2

Business Math Vocabulary Exams Test Pack 2

BUSINESS MATH ANSWER KEY.docx - ANSWER KEY SET B TEST I 1 ...

BUSINESS MATH ANSWER KEY.docx - ANSWER KEY SET B TEST I 1 ...

The Mailbox | Holiday worksheets, Lesson plans, Math worksheet

The Mailbox | Holiday worksheets, Lesson plans, Math worksheet

Business Math Worksheets – TheWorksheets.CoM – TheWorksheets.com

Business Math Worksheets – TheWorksheets.CoM – TheWorksheets.com

Business Math 2nd Quarter With Answer Key | PDF | Overtime ...

Business Math 2nd Quarter With Answer Key | PDF | Overtime ...

Business Math Worksheets – TheWorksheets.CoM – TheWorksheets.com

Business Math Worksheets – TheWorksheets.CoM – TheWorksheets.com

Free Math Worksheets - Printable & Organized by Grade | Beestar

Free Math Worksheets - Printable & Organized by Grade | Beestar

Chapter 5 1 Hourly Pay Business Math Worksheet | PDF ...

Chapter 5 1 Hourly Pay Business Math Worksheet | PDF ...

Business Math - Business & Consumer Loan | swtcmath

Business Math - Business & Consumer Loan | swtcmath

Worksheet with Answer Key - Calculus for Business | MATH 165 ...

Worksheet with Answer Key - Calculus for Business | MATH 165 ...

ABM-11 Business- Mathematics Q1 W1 Mod1 - 11 Business ...

ABM-11 Business- Mathematics Q1 W1 Mod1 - 11 Business ...

0 Response to "40 business math worksheets answer key"

Post a Comment

Iklan Atas Artikel

Iklan Tengah Artikel 1

Iklan Tengah Artikel 2

Iklan Bawah Artikel